Decoding End Behavior: A Guide To Formal Notation

D.Expipoint 75 views
Decoding End Behavior: A Guide To Formal Notation

Decoding End Behavior: A Guide to Formal Notation

Hey everyone! Let’s dive into the fascinating world of formal notation and, specifically, how it helps us understand something super important in math: end behavior . End behavior, in simple terms, is what a function does as its input (usually ‘x’) gets really, really big (positive or negative). Think of it like this: If you’re walking along a path, end behavior is where the path leads you as you go on forever. Understanding this is crucial for a bunch of different math concepts, from sketching graphs to solving complex equations. Formal notation provides a precise language to describe this behavior, making sure everyone is on the same page. So, let’s break it down in a way that’s easy to grasp, without all the confusing jargon.

What is Formal Notation, Anyway?

So, what exactly is formal notation? It’s basically a standardized way of writing mathematical ideas. It’s a bit like learning a new language. You have symbols, rules, and syntax that everyone in the math world agrees on. This shared language avoids ambiguity. This means that when you see a piece of formal notation, you (and anyone else who understands the system) can interpret it the exact same way. It’s the key to clear communication in math. Formal notation uses symbols, variables, and specific structures to represent mathematical concepts. Instead of writing out long sentences, we use these concise symbols to express relationships, operations, and, of course, end behavior.

Now, why do we need all this formality? Well, imagine trying to describe the behavior of a function to someone who doesn’t speak your language. It would be a nightmare, right? Formal notation is that universal language. It allows us to be precise, and it minimizes the chance of misunderstandings. It’s especially useful when dealing with complex concepts like end behavior, where subtle changes in behavior can be critical. This way, we can be confident in how a function behaves, even as it goes off to infinity. This precision becomes extra important when we’re trying to prove things, because the more clearly you state your assumptions and conclusions, the better your argument will be. Formal notation also helps us to avoid ambiguity, because every symbol and expression has a specific meaning. If we’re dealing with a really complicated function, it’s pretty much impossible to talk about its end behavior without some kind of formal notation. The lack of formalization would result in errors in the reasoning and interpretation.

Key Symbols and Concepts

Here are some of the key symbols and concepts you’ll bump into when discussing end behavior using formal notation:

  • Limits: The cornerstone. Limits describe the value a function approaches as the input approaches a specific value (or infinity). The notation is usually something like lim x→∞ f(x) = L . This reads as “the limit of f(x) as x approaches infinity is L,” where L is some number. This is super important to figure out the behavior of a function.
  • Infinity (∞): This isn’t a number you can reach, but a concept. It represents a value that’s unbounded and goes on forever. We often talk about ‘x approaching infinity’ or ‘x approaching negative infinity’.
  • f(x): This represents the function itself. It’s the rule that takes an input (x) and gives you an output (y).
  • x → a: This reads “x approaches a”. ‘a’ can be any number, or infinity. It describes what values the independent variable, ‘x’, is moving toward.

Understanding these building blocks is vital to unlock the power of formal notation. Get familiar with these and you’ll be set to decode the most complicated mathematical notation.

End Behavior Explained: The Basics

Okay, so what do we actually mean by “end behavior”? It’s all about what happens to a function as x gets extremely large (positive or negative). Does the function’s value (f(x) or y ) also get large, small, or settle down around a certain value? Does it go up, go down, or stay flat? Those are the key questions.

To really get this concept down, let’s imagine a rollercoaster. The “end behavior” of the rollercoaster is where the ride ends, or what happens to you as you go towards the end. Some functions act like rollercoasters, they go up and down and all around. Others go in a straight line, rising slowly. Some even have a horizontal line, meaning they have a limit or stop at a certain value. In math, just like a rollercoaster, end behavior also lets you know where the function “ends up.”

There are several possible types of end behavior:

  • Approaching a Horizontal Asymptote: The function gets closer and closer to a horizontal line (the asymptote) as x goes to positive or negative infinity. Example: lim x→∞ f(x) = 5 . The function approaches the value 5 as x grows very large.
  • Increasing Without Bound: The function’s value goes to positive infinity as x goes to positive or negative infinity. Example: lim x→∞ f(x) = ∞ . The function keeps going up forever.
  • Decreasing Without Bound: The function’s value goes to negative infinity as x goes to positive or negative infinity. Example: lim x→-∞ f(x) = -∞ . The function keeps going down forever.
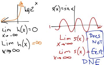
  • Oscillating: The function oscillates (bounces up and down) and doesn’t settle on a single value, such as a sine or cosine wave. Example: The sine of x, when x goes to infinity.

Formal Notation in Action: Examples

Alright, let’s put it all together and see formal notation used in action, with some examples. Here we’ll see the functions and their end behavior.

Example 1: A Simple Polynomial

Let’s look at the function: f(x) = x^2 . This is a parabola.

  • As x goes to positive infinity: lim x→∞ x^2 = ∞ . The function goes up forever.
  • As x goes to negative infinity: lim x→-∞ x^2 = ∞ . The function also goes up, because the negative sign disappears in the squaring.

This simple notation tells us that this parabola opens upwards, and it increases without bound in both directions.

Example 2: A Rational Function

Now, let’s consider the function: f(x) = 1/x . This is a hyperbola.

  • As x goes to positive infinity: lim x→∞ 1/x = 0 . The function approaches the x-axis (y=0).
  • As x goes to negative infinity: lim x→-∞ 1/x = 0 . Again, the function approaches the x-axis.

This tells us that the function has a horizontal asymptote at y=0. Note that the function approaches zero, but never actually reaches it, because you can’t divide by infinity.

Example 3: Exponential Function

Let’s check f(x) = 2^x .

  • As x goes to positive infinity: lim x→∞ 2^x = ∞ . The function increases without bound.
  • As x goes to negative infinity: lim x→-∞ 2^x = 0 . The function approaches the x-axis.

This shows us an exponential function that rises rapidly to the right and approaches the x-axis from the negative direction.

Tips for Understanding and Using Formal Notation

Okay, so now that you’ve seen a few examples, here are some tips to help you master formal notation and end behavior:

  • Practice, practice, practice! The best way to get comfortable with formal notation is to use it. Work through examples, write your own limits, and try to describe the end behavior of different functions.
  • Understand the basic functions. Know the shapes and end behavior of common functions like polynomials, rational functions, exponentials, and logarithms. It will make things easier.
  • Visualize the graphs. Sketching a graph or using a graphing calculator can help you visualize the end behavior, which then helps you connect the notation to the concept.
  • Break it down. Don’t try to understand everything all at once. Start with the basics (like the limit notation), then gradually move on to more complex expressions.
  • Don’t be afraid to ask for help. Math can be tough, and there’s no shame in seeking clarification. Ask your teacher, a friend, or look online for explanations. Also, keep in mind that the symbols are universal, so there is no shame in getting to know them.

Conclusion: Mastering End Behavior with Formal Notation

So there you have it, guys! We’ve covered the basics of end behavior and how formal notation helps us describe it. Remember, it’s all about what happens to a function as x goes to infinity (or negative infinity). Formal notation provides a concise, unambiguous way to express this. The more you work with it, the more familiar it will become. And, hey, don’t worry if it doesn’t click right away. Keep practicing, and you’ll get there. Knowing this stuff is a stepping stone to so many other cool math topics. Good luck, and happy learning!