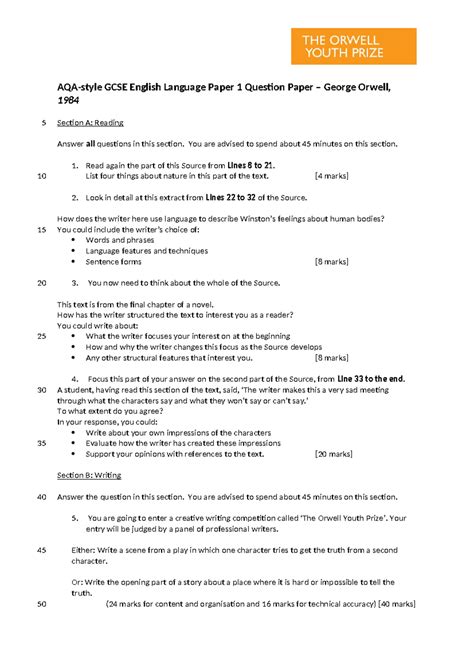
Understanding 1984 Language Paper 1

D.Expipoint 102 views
Understanding 1984 Language Paper 1

Understanding 1984 Language Paper 1

Hey guys! Let’s dive into the nitty-gritty of the 1984 language paper 1 . This paper is all about testing your comprehension and analytical skills on a variety of texts, often focusing on narrative and descriptive writing. When you approach 1984 language paper 1 , the first thing you want to get your head around is the type of questions you’ll be facing. Typically, you’ll be given a passage – could be a story excerpt, a personal essay, or even a piece of non-fiction – and then you’ll need to dissect it. Think of yourself as a literary detective, looking for clues within the text. Questions might ask you to identify the writer’s purpose, analyze the language techniques they’ve used (like metaphors, similes, personification, or vivid imagery), understand the tone and mood, and explore how the writer builds atmosphere or character. It’s not just about spotting these techniques, though; it’s about explaining how they work and what effect they have on you, the reader. For instance, if a question asks about the use of pathetic fallacy, you’ll need to not only identify it but also explain how the weather reflects or contrasts with the characters’ emotions, thereby deepening your understanding of their inner turmoil or the overall mood of the scene. This requires careful reading and a solid grasp of literary terminology. Don’t just skim the surface, guys; dig deep and show off your understanding! Remember, 1984 language paper 1 is designed to challenge you, but with the right preparation, you can absolutely nail it. Focus on practicing with different types of texts and familiarizing yourself with common question types. The more you read and analyze, the more comfortable you’ll become with identifying and discussing literary devices. It’s like building a muscle – the more you work it, the stronger it gets.

When tackling 1984 language paper 1 , it’s crucial to pay close attention to the specific instructions for each question. Sometimes they’ll ask you to summarize information, other times to explain or analyze . The verbs are key here! Summarizing means condensing the main points without adding your own interpretation, while explaining requires you to clarify something using evidence from the text. Analysis, on the other hand, is where you really get to shine. This is where you break down the text, examine its components, and explain the why and how behind the writer’s choices. For example, if the question is “Analyze how the writer uses imagery to create a sense of unease,” you need to pick out specific examples of imagery (sensory details appealing to sight, sound, smell, taste, or touch) and then explain how those specific descriptions contribute to that feeling of unease. You might say something like, “The writer uses the ‘chilling silence’ and the ‘skittering shadows’ to evoke a sense of dread. The auditory imagery of the silence amplifies the feeling of isolation, while the visual imagery of the shadows suggests hidden threats, collectively building a palpable atmosphere of suspense.” See? You’re not just identifying; you’re interpreting and articulating the impact. Language paper 1 1984 often rewards detailed, evidence-based responses. So, when you’re writing your answers, always refer back to the text. Quote short, relevant phrases or sentences to support your points. This provides concrete proof of your understanding and shows the examiner you’re not just guessing. Make sure your quotes are integrated smoothly into your own sentences, rather than just dropped in. Think about how the language itself – the word choices (diction), the sentence structures (syntax), and the figurative language – contributes to the overall meaning and effect. 1984 language paper 1 is all about the power of words, so be sure to discuss them! Practice reading critically, highlighting interesting vocabulary, noting down descriptive passages, and thinking about the author’s intent. This active reading approach will make a huge difference when exam time rolls around. Remember, it’s about showing your engagement with the text and your ability to articulate your thoughts clearly and persuasively.

Now, let’s talk about the different types of texts you might encounter in 1984 language paper 1 . You could be looking at anything from a classic novel excerpt to a contemporary blog post, a historical account, or even a travelogue. The key is that these texts will likely be rich in descriptive language and narrative techniques. A common focus is on the writer’s ability to create a vivid picture in the reader’s mind. This involves using sensory details – what can you see, hear, smell, taste, and touch? The more senses a writer engages, the more immersive the experience for the reader. For example, instead of saying “The room was old,” a writer might describe “the musty scent of decaying paper, the sight of dust motes dancing in the weak sunlight filtering through grimy windows, and the faint creak of floorboards underfoot.” These details paint a much clearer and more evocative picture, right? 1984 language paper 1 often asks you to analyze how such details contribute to the atmosphere or characterization. Is the atmosphere one of comfort, or perhaps foreboding? Does the description reveal something about the character’s personality or their state of mind? Beyond sensory details, writers also employ figurative language to add depth and interest. Think about metaphors (comparing two unlike things directly, e.g., “Her voice was a velvet caress”), similes (comparing two unlike things using ‘like’ or ‘as’, e.g., “He was as stubborn as a mule”), and personification (giving human qualities to inanimate objects or animals, e.g., “The wind whispered secrets through the trees”). Understanding these devices is crucial, but more importantly, you need to explain their effect . How does comparing a voice to velvet make it sound? What does the comparison to a mule tell us about the person’s stubbornness? How does personifying the wind make the scene feel more alive or mysterious? Language paper 1 1984 requires you to go beyond simply naming the technique; you must articulate its impact. Another area to focus on is sentence structure (syntax) . Short, punchy sentences can create a sense of urgency or excitement, while longer, more complex sentences might convey a sense of calm, reflection, or detailed explanation. Varying sentence length can also affect the rhythm and flow of the writing. Pay attention to how the writer uses punctuation too – dashes can indicate a sudden break in thought, while semicolons can link closely related ideas. By analyzing these elements, you demonstrate a sophisticated understanding of how writers craft their messages. Practice identifying these techniques in different texts and explaining their effects in your own words. The more you do this, the better prepared you’ll be for 1984 language paper 1 .

When preparing for 1984 language paper 1 , it’s super important to practice annotating texts . This means actively engaging with the passage by highlighting key points, underlining important vocabulary, writing notes in the margins, and marking up literary devices. Think of it as having a conversation with the text! As you read, jot down your initial reactions, questions you have, and any observations about the language. For example, if you come across a particularly striking metaphor, underline it and write “strong image - creates sense of X” in the margin. If the writer uses a lot of short sentences in a tense scene, circle them and write “builds pace/tension.” This active process helps you to absorb the information more deeply and makes it much easier to recall specific examples when you need to answer the questions. 1984 language paper 1 questions often require you to refer to specific parts of the text, and your annotations will be invaluable for this. Don’t just passively read; actively mark up the text. Try to identify the writer’s purpose – are they trying to inform, persuade, entertain, or describe? How does the language they use help them achieve this purpose? Also, look for clues about the tone and mood . Tone refers to the writer’s attitude towards the subject matter (e.g., sarcastic, serious, humorous, critical), while mood is the atmosphere created for the reader (e.g., cheerful, suspenseful, melancholic). These are often conveyed through word choice and imagery. For instance, a sarcastic tone might be signaled by irony or exaggeration, while a melancholic mood could be evoked by descriptions of fading light or somber music. Language paper 1 1984 examiners want to see that you can distinguish between these nuances and explain how they are created. Practicing annotation also helps you to develop your own analytical vocabulary. Instead of just saying “the words were good,” you can start using terms like “evocative,” “poignant,” “visceral,” “acerbic,” or “lyrical.” These precise terms demonstrate a more sophisticated understanding of language. Make sure you understand the meaning of common literary terms – simile, metaphor, personification, alliteration, onomatopoeia, hyperbole, understatement, etc. – and, crucially, how to explain their effect. For 1984 language paper 1 , it’s not enough to just list them; you need to explain how they work. Imagine you’re explaining it to a friend who hasn’t read the text. What would you point out? What would you emphasize? This conversational approach can help you structure your thoughts and ensure you’re providing a clear, well-supported analysis. So, grab a text, get your highlighters ready, and start annotating like a pro. It’s one of the best ways to prepare for language paper 1 1984 .

Finally, when it comes to answering the questions in 1984 language paper 1 , structure is your best friend. Most questions, especially those requiring analysis, benefit from a clear, logical structure. A good approach is the PEE or PEEL method: Point , Evidence , Explanation , and sometimes Link . First, state your point clearly – what specific aspect of the text are you focusing on? For example, “The writer uses vivid imagery to create a sense of foreboding.” Next, provide evidence from the text to support your point. This means quoting a relevant phrase or sentence. “For instance, the description of the sky as ‘bruised and angry’ suggests impending danger.” Then, explain how the evidence supports your point. This is where you analyze the language. “The personification of the sky as ‘bruised and angry’ attributes human-like emotions of aggression and pain to a natural element, directly implying that something terrible is about to happen and creating a palpable sense of dread for the reader.” If you’re using PEEL, the Link part connects back to the main question or to the broader theme of the text. “This use of menacing natural imagery effectively establishes a dark and threatening atmosphere from the outset, setting the stage for the dramatic events to follow.” 1984 language paper 1 often rewards well-developed explanations that go beyond the surface level. Don’t just state the obvious; delve deeper into the writer’s choices and their impact. Practice applying this structure to different types of questions. For descriptive questions, focus on identifying specific details and explaining their effect. For narrative questions, consider how plot, character, and setting work together. Language paper 1 1984 also tests your ability to understand the writer’s perspective and purpose. Ask yourself: What is the writer trying to achieve with this piece? Who are they writing for? How do their language choices reflect their attitude towards the subject? Be sure to manage your time effectively during the exam. Read the questions carefully, plan your answers, and allocate enough time for each section. It’s easy to get bogged down on one question, but remember there are others to tackle. If you’re stuck, move on and come back later. The more you practice with past papers and familiar texts, the more confident you’ll become. Remember, 1984 language paper 1 is all about demonstrating your understanding of how language works to create meaning and effect. So, keep reading, keep analyzing, and keep practicing. You’ve got this, guys!